Chapter 4 یک درجی مساوات اور غیرمساوات General Math 10th Class Punjab Short Questions
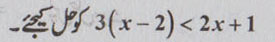
سوال نمبر 1 - 

جواب نمبر 1 - 

سوال نمبر 2 - مساوات کے روٹ سے کیا مراد ہے؟ اس کی تعریف کریں.
جواب نمبر 2 - 

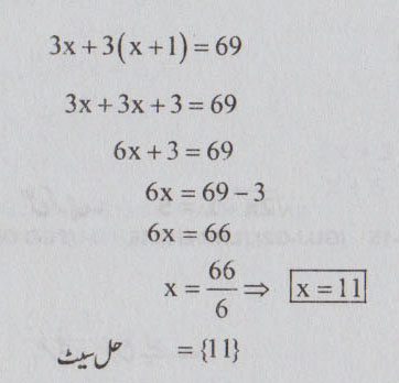
سوال نمبر 3 - 

جواب نمبر 3 - 

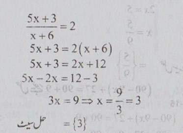
سوال نمبر 4 - 

جواب نمبر 4 - 

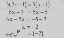
سوال نمبر 5 - 

جواب نمبر 5 - 

سوال نمبر 6 - 

جواب نمبر 6 - 

سوال نمبر 7 - 

جواب نمبر 7 - 

سوال نمبر 8 - مساوات کی تعریف کریں.
جواب نمبر 8 - مساوات ایسا بیان جس میں دو الجبری جملوں کو برابری کی علامت سے جوڑا گیا ہو مساوات کہلاتا ہے.
سوال نمبر 9 - مطلق قیمت سے کیا مراد ہے.
جواب نمبر 9 - 

سوال نمبر 10 - غیر مساواتوں کی دو خصوصیات کے نام لکھیں.
جواب نمبر 10 - غیر مساواتوں کی مندرجہ ذیل خصوصیات ہیں. 1. ثلاثی خاصیت 2. خاصیت متعدیت. 3. جمعی خاصیت 4. ضربی خاصیت.
سوال نمبر 11 - 

جواب نمبر 11 - 

سوال نمبر 12 - 

جواب نمبر 12 - 

سوال نمبر 13 - خطی مساوات کی تعریف کریں اور اس کی معیاری صورت لکھیں.
جواب نمبر 13 - 

سوال نمبر 14 - 

جواب نمبر 14 - 

سوال نمبر 15 - 

جواب نمبر 15 - 

سوال نمبر 16 - 

جواب نمبر 16 - 

سوال نمبر 17 - 

جواب نمبر 17 - 

سوال نمبر 18 - 

جواب نمبر 18 - 

سوال نمبر 19 - 

جواب نمبر 19 - 

سوال نمبر 20 - 

جواب نمبر 20 - 

سوال نمبر 21 - خطی مساوات کی تعریف کریں.
جواب نمبر 21 - ایک درجی کثیر رقمی والی مساوات خطی مساوات کہلاتی ہے. میعاری صورت: اس کی میعاری صورت ax+b=0 ہے جہاں a ≠ 0
سوال نمبر 22 - 

جواب نمبر 22 - 

سوال نمبر 23 - 

جواب نمبر 23 - 

سوال نمبر 24 - 

جواب نمبر 24 - 

سوال نمبر 25 - خطی مساوات کے حل سےکیا مراد ہے؟
جواب نمبر 25 - متغیر کی کوئی ایسی قیمت جو کسی خطی مساوات کو درست ثابت کردے اس کا حل کہلاتی ہے.
سوال نمبر 26 - 

جواب نمبر 26 - 

سوال نمبر 27 - 

جواب نمبر 27 - 

سوال نمبر 28 - مطلق قیمت سے کیا مراد ہے؟
جواب نمبر 28 - ہر حقیقی عدد X کی مطلق قیمت کو |x| سے ظاہر کیا جاتا ہے مطلق قیمت کہلاتا ہے.
سوال نمبر 29 - 

جواب نمبر 29 - 

سوال نمبر 30 - 

جواب نمبر 30 - 

سوال نمبر 31 - غیر مساوات کی دو خصوصیات کے نام لکھیں.
جواب نمبر 31 - غیر مساواتوں کی مندرجہ ذیل خصوصیات ہیں.
سوال نمبر 32 - 

جواب نمبر 32 - 

سوال نمبر 33 - خطی مساوات کے حل سے کیا مراد ہے؟
جواب نمبر 33 - 

سوال نمبر 34 - ثلاثی خاصیت کی تعریف کیجیًے.
جواب نمبر 34 - 

سوال نمبر 35 - غیر مساوات کی تعریف کریں.
جواب نمبر 35 - اگر دو الجبری جملوں کو غیر مساوات کی علامات >,<,<,> سے جوڑاگیا ہو ایسے فقرے غیر مساواتیں کہلاتے ہیں.
سوال نمبر 36 - 

جواب نمبر 36 - 

سوال نمبر 37 - 

جواب نمبر 37 - 

سوال نمبر 38 - 

جواب نمبر 38 - 

سوال نمبر 39 - 

جواب نمبر 39 - 

سوال نمبر 40 - 

جواب نمبر 40 - 

سوال نمبر 41 - 

جواب نمبر 41 - 

سوال نمبر 42 - 

جواب نمبر 42 - 

سوال نمبر 43 - غیر مساوات کی تعریف کیجیًے.
جواب نمبر 43 - 

سوال نمبر 44 - 

جواب نمبر 44 - 

سوال نمبر 45 - 

جواب نمبر 45 - 

سوال نمبر 46 - ثلاثی خاصیت کی تعریف کریں.
جواب نمبر 46 - عددی خط پر دو نمبروں x اور y کے لیے درج ذیل میں سے صرف کوئی ایک بیان درست ہوگا. 1. x > y .3 x = y .2 x < y یہ قانون ثلاثی کہلاتا ہے.
سوال نمبر 47 - 

جواب نمبر 47 - 

سوال نمبر 48 - مساوات کی تعریف کریں
جواب نمبر 48 - 

سوال نمبر 49 - 

جواب نمبر 49 - 

سوال نمبر 50 - جزری مساوات سے کیا مراد ہے؟
جواب نمبر 50 - ایسی مساوات جس میں متغیر جزر کی علامت کے اندر پایا جاتا ہو، جزری مساوات کہلاتی ہے.
سوال نمبر 51 - 

جواب نمبر 51 - 

سوال نمبر 52 - 

جواب نمبر 52 - 

سوال نمبر 53 - 

جواب نمبر 53 - 

سوال نمبر 54 - 

جواب نمبر 54 - 

سوال نمبر 55 - 

جواب نمبر 55 - 

سوال نمبر 56 - 

جواب نمبر 56 - 

سوال نمبر 57 - مساوات کے روٹ سے کیا مراد ہے؟
جواب نمبر 57 - کسی مساوات میں متغیر کی ایسی قیمت جو اُس مساوات کو درست ثابت کرے روٹ کہلاتی ہے.x-7=3 کا رُوٹ X=10 ہے.
سوال نمبر 58 - 

جواب نمبر 58 - 

Previous Question
1-58
Next Question
General Math
10th Class Punjab Short Questions
10th Class Online Classes 2026
Updated on: 22-05-2026
10th Class Online Preparation
10th Class 2026 Online
10th Class 2026
Add a Comment
Comments will be shown after admin approval.
Spam comments will not be approved at all.
Matric Result 2026 Punjab
10th Class Result 2026 Punjab
9th Class Result 2026 Punjab Boards
10th Class Result Gazette 2026 Punjab
Punjab Past Papers Matric 9th 10th
Primary Results 5th & 8th Class
BISE Results Intermediate & Matric
BISE Punjab Boards
Sindh Educational Boards
KPK Examination Boards
Technical Boards
Public Service Commission
University Results Gruaduation, Masters Classes
Subscribe by Email
Subscribe by Email
Position Holders Matric 2026
Position Holders 9th Class 2026
Position Holders Inter 2026
Position Holders 11th Class 2026









